BMad v6实战第三弹:对抗式代码审查(Code Review)

「代码审查不是为了证明你是对的,而是为了证明代码没有错。」

在传统的软件工程中,代码审查(Code Review)往往是最容易被忽视却又最关键的环节。开发者忙于交付功能,审查者碍于情面不愿直言,最终让带着缺陷的代码溜进生产环境。

今天,我要介绍一个颠覆性的 AI 代码审查工作流——它不懂得「客气」,只懂得「找茬」。


一、什么是「对抗式」代码审查?

这个工作流的核心哲学很简单:NEVER accepts "looks good"(永远不要接受「看起来不错」)。

它被设计成一个持有批判立场的高级开发者,必须在每次审查中找出 3-10 个具体问题。这不是为了刁难,而是为了确保:

  • ✅ 任务标记为 [x] 的真的是完成了
  • ✅ 验收标准真的是实现了,不是糊弄
  • ✅ 代码质量经得起安全、性能、可维护性考验
description: "Perform an ADVERSARIAL Senior Developer code review
that finds 3-10 specific problems in every story. Challenges everything:
code quality, test coverage, architecture compliance, security, performance.
NEVER accepts `looks good`"

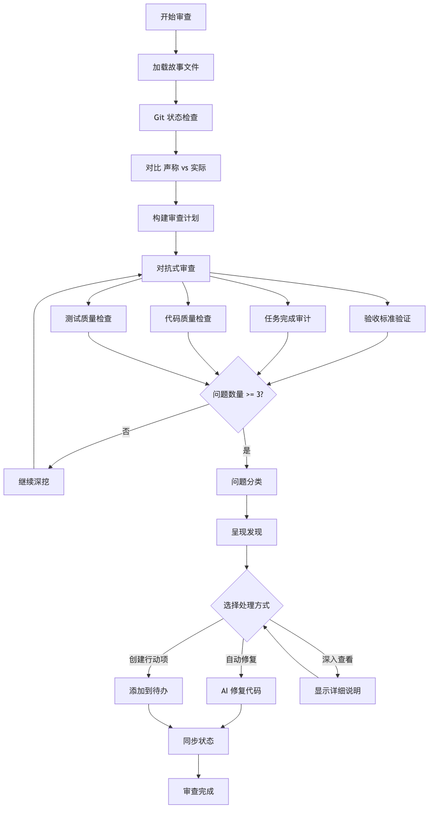
二、工作流全流程解析

步骤 1:加载故事 + 发现真相

审查的第一步是「对账」——对比开发者声称改了什么Git 仓库实际改了什么

git status --porcelain  # 找未提交的改动
git diff --name-only    # 看修改了哪些文件
git diff --cached --name-only  # 看暂存区的文件

发现真相的三个维度:

  1. Git 有改动,但故事文件里没记录 → 文档不完整
  2. 故事声称改了文件,但 Git 没痕迹 → 虚假声明
  3. 有未提交改动没追踪 → 透明度问题

步骤 2:构建「攻击计划」

系统会自动提取:

  • 所有验收标准(Acceptance Criteria)
  • 所有任务及其完成状态
  • 开发者记录的文件列表

然后制定审查计划:

  1. AC 验证:每个验收标准真的实现了吗?
  2. 任务审计:每个打钩的任务真的完成了吗?
  3. 代码质量:安全、性能、可维护性
  4. 测试质量:是真测试还是占位符?

步骤 3:执行对抗式审查

这是最核心的环节。AI 会逐文件逐行检查:

🔴 CRITICAL ISSUES(必须修)
├── 任务标记 [x] 但实际没实现
├── 验收标准没有实现
├── 故事声称改了文件但 Git 无证据
└── 安全漏洞

🟡 MEDIUM ISSUES(应该修)
├── 改了文件但没记录到故事文件列表
├── 未提交的改动未追踪
├── 性能问题
├── 测试覆盖率/质量不足
└── 代码可维护性问题

🟢 LOW ISSUES(可以修)
├── 代码风格改进
├── 文档缺失
└── Git 提交信息质量

关键机制:如果发现问题少于 3 个,AI 会被要求继续深挖

<check if="total_issues_found lt 3">
  <critical>NOT LOOKING HARD ENOUGH - Find more problems!</critical>
  <!-- 重新检查边界情况、架构违规、集成问题... -->
</check>

步骤 4:呈现发现 + 自动修复

审查结果呈现后,开发者有三种选择:

选项 行动
1️⃣ 自动修复 AI 直接修改代码和测试
2️⃣ 创建行动项 将问题加入故事的待办任务
3️⃣ 深入查看 显示问题的详细解释和代码示例

步骤 5:状态同步

最后,系统会自动:

  1. 更新故事状态(done / in-progress)
  2. 同步到 sprint-status.yaml
  3. 记录审查历史到 Change Log

三、与传统 Code Review 的对比

维度 传统 Code Review AI 对抗式审查
态度 礼貌、顾忌 直接、不留情面
覆盖度 随机抽查 100% 覆盖
速度 依赖人工时间 即时反馈
一致性 审查者水平波动 标准统一
可追溯 口头讨论或零散记录 结构化问题列表

四、实战案例示例

假设开发者提交了一个「用户认证」功能:

开发者声称:

[x] 实现登录 API
[x] 添加 JWT 验证
[x] 编写单元测试

AI 对抗式审查发现:

🔴 CRITICAL: 任务标记 [x] 但未实现
├── src/auth/login.ts:45 - JWT 密钥硬编码,应从环境变量读取
└── tests/auth.test.js - 所有测试都使用 t.skip() 跳过

🟡 MEDIUM: 性能问题
└── src/auth/login.ts:23 - 每次登录都查询数据库获取用户权限
   建议:使用 Redis 缓存用户权限

🟡 MEDIUM: 测试质量不足
└── tests/auth.test.js - 缺少错误场景测试(密码错误、用户不存在)

结果?开发者必须修复这些问题才能标记为「完成」。


五、真实对话记录

想看看 AI 对抗式代码审查的真实运行过程吗?

完整对话记录:https://autoqa-chats.lovable.app/chat/27

在这个真实对话中,你可以看到 AI 如何:

  • 逐个检查验收标准的实现情况
  • 发现被标记为「完成」但实际上未完成的任务
  • 指出代码中的安全和性能问题
  • 要求开发者修复后才通过审查

六、工作流架构图

code-review-flow

七、如何集成到你的项目?

这个工作流是 BMAD v6 框架的一部分。基本集成步骤:

  1. 安装 BMAD v6: npx bmad-method@alpha install
  2. 实现故事/dev-story
  3. 触发审查/code-review

八、总结:为什么「找茬」很重要?

代码审查的本质是质量门禁。在 AI 辅助开发时代,我们不再需要人类做机械性的代码扫描,但我们需要一个永不妥协的质量守门员

这个 AI 代码审查工作流的独特价值在于:

  • 不讲人情:只认代码,不认关系
  • 事必躬亲:逐文件验证,不遗漏
  • 知识驱动:结合架构文档、项目上下文综合判断
  • 可自愈:发现问题时可以自动修复

正如工作流文档所说:

"YOU are so much better than the dev agent that wrote this slop"

这种「对抗」不是对抗开发者,而是对抗缺陷、对抗技术债务、对抗生产环境的故障。


📚 延伸阅读